溶解性有機質(DOM)含有發色基團,是重要的天然光敏劑,在紫外輻射或太陽光照射下,單線態(state DOM singlet,1DOM)分子吸收光能先轉化為激發單線態(excited state DOM singlet,1DOM*),進而轉化為激發三線態(excited state DOM triplets,3DOM*),進一步與溶解氧分子發生一系列反應,產生活性氧物質(reactive oxygen species,ROS),如羥基自由基(hydroxyl radical,· OH)、單線態氧(singlet oxygen,1O2)、超氧化物(superoxide,O2-)等(見反應式(1)、(2.這些活性氧物質可以誘導有機污染物光降解,同時,DOM也會與目標化合物競爭光吸收,或猝滅目標化合物的激發態,DOM對有機污染物的光解具有光敏化和光屏蔽雙重作用(Chen et al., 2009;,這與DOM的來源、組成、化學結構等特點密切相關.因此,溶解性有機質在水生生態系統光化學中扮演重要角色,可以影響有機污染物的環境行為和生態風險.
為了更好地探究DOM對有機污染物光降解的影響,研究人員對DOM光化學反應特征,如機理、定量關系等開展了大量研究通過對自然水體進行研究,率先建立了DOM與單線態氧之間的定量關系.此后針對DOM產生ROS的反應,用從自然水體、土壤等不同來源介質中提取的腐殖酸、富里酸等不同組分,在太陽光及模擬日光等不同光照條件下,進行了有機質光化學行為等研究此外,溶解性有機質光譜特征與1O2產量之間的關系的研究也有一定的深入報道.小分子量的DOM光敏效率較大分子量的高;DOM的光譜特征(如E2:E3(254 nm與365 nm處吸光度的比值)、a300、S300~600(300~600 nm段吸光光譜斜率)等)與單線態氧產量及量子產率存在一定的相關性,一定程度上還可運用這些關系對1O2量子產率進行預測;Coelho et al.(2011)認為單線態氧平衡濃度與DOM的長波段熒光強度有很強的相關性,熒光類有機質在產生單線態氧反應中有一定作用.目前,國外對光誘導有機質產生單線態氧的機制研究較多,而針對該反應影響因素方面的研究較少且缺乏系統性和全面性,國內相關研究則更多關注于有機質對有機污染物光降解的影響.本文將從水環境和光照條件兩方面,探討pH、溫度、光照強度、以及腐植酸含量等因素對光誘導有機質產生單線態氧反應的影響.
腐殖酸(humic acid,HA)作為DOM的重要組成部分,廣泛存在于天然水體、土壤、沉積物等介質中.本研究利用我們課題組發明的用于有機質產生單線態氧研究的實驗裝置(何偉等,2015),選用典型溶解性有機質——腐殖酸,在氙燈模擬日光照射下,選取HA濃度、pH、溫度和光照強度等因素,對腐殖酸產生單線態氧反應的影響進行探究,選取E2:E3分析腐殖酸光譜特征與1O2量子產率間的關系,以期明晰溶液環境、光照條件對腐殖酸光敏化產生1O2反應的影響,為天然有機質的光化學行為及其影響因素研究和水體自凈能力評估提供理論依據.
2 材料與方法
2.1 腐殖酸溶液制備
將固體腐殖酸(化學純,國藥集團化學試劑有限公司)置于水中,用0.1 mol · L-1氫氧化鈉調節pH,攪拌、溶解、離心、過0.45 μm微孔濾膜,得到pH分別為4、5、6、7、8、10、12的HA溶液,儲存于棕色玻璃瓶中,4 ℃下保存備用.采用有機碳分析儀(TOC-V WP,日本島津公司)測得各pH下提取HA溶液的DOC含量.光照實驗HA工作液用儲備液按DOC設定濃度成一定比例稀釋所得,稀釋選用相應pH的5 mmol · L-1磷酸鹽緩沖溶液.
2.2 單線態氧捕獲劑及敏化劑
糠醇(Furfuryl alcohol,FFA,98%,阿法埃莎(天津)化學有限公司)作為一種經典單線態氧捕獲劑廣泛用于腐殖酸光化學研究(Peterson et al., 2012; Mostafa et al., 2013).光照實驗中FFA濃度為10 μmol · L-1.萘嵌苯酮(Perinaphthenone,PN,97%,美國西格瑪奧德里奇公司)是一種重要的單線態氧敏化劑,實驗中PN的濃度為100 μmol · L-1.
2.3 高效液相色譜測定
FFA測定采用高效液相色譜分析儀,色譜柱為RP-Amide C16,流動相為醋酸緩沖溶液(5 mmol · L-1,pH=4.56)/乙腈=9/1,V/V,流速為1.0 mL · min-1,紫外檢測器波長為219 nm.標準曲線濃度梯度選擇2、5、10、25、50、100 μmol · L-1.液相色譜分析中,FFA出峰時間為6.2~6.8 min.
2.4 實驗裝置及條件控制
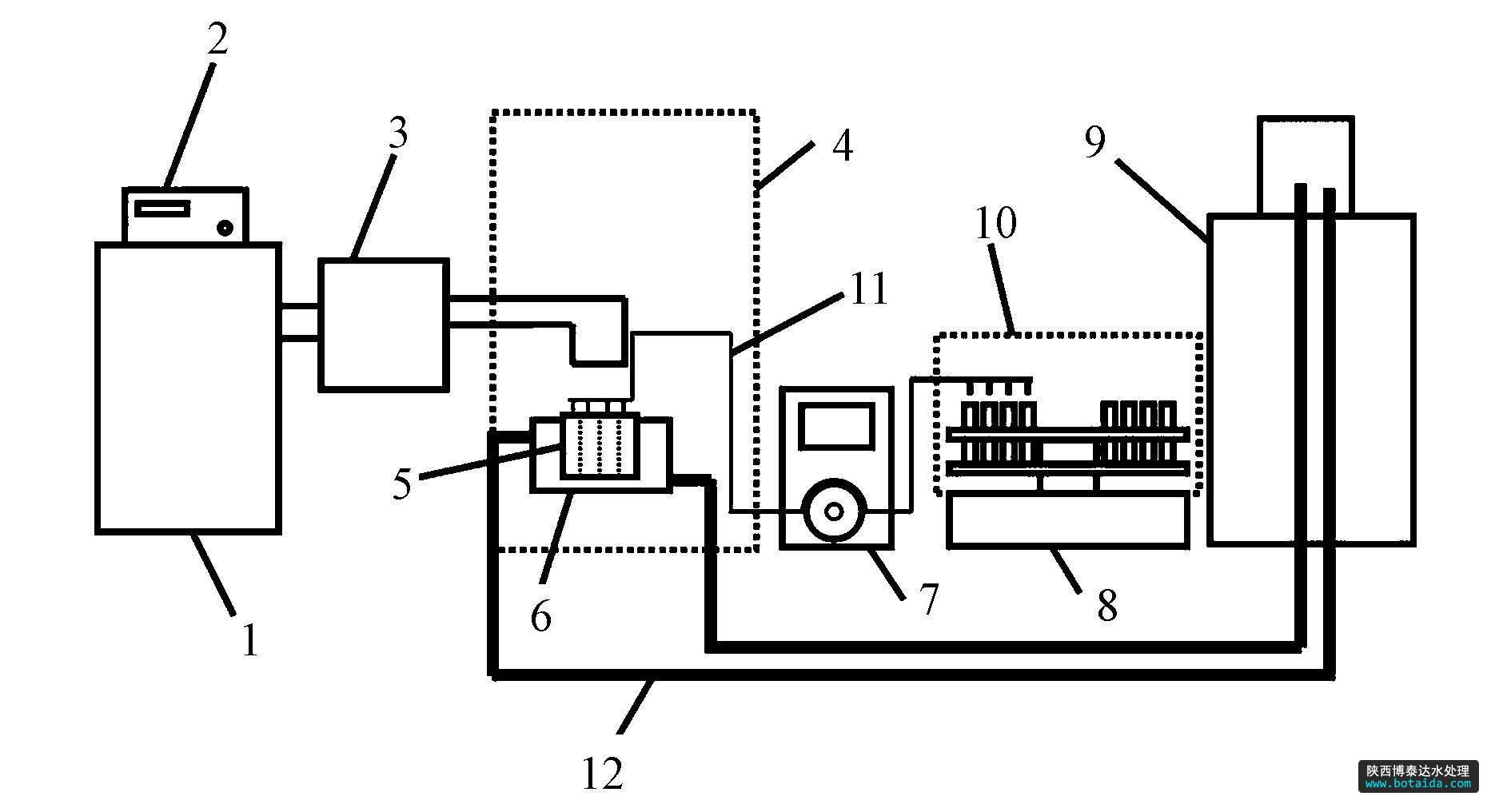
本課題組設計的單線態氧捕獲裝置如圖 1所示(何偉等,2015).該裝置由4個部分構成,從左到右依次為光反應裝置(Solar-500,北京紐比特科技有限公司,中國)、四通道全自動蠕動泵采樣裝置(BT100-1F,河北保定蘭格恒流泵有限公司,中國)、四通道部分收集器(EBS-20,上海滬西分析儀器廠有限公司,中國)和低溫恒溫循環水裝置(ILB-008-4,施都凱儀器設備(上海)有限公司,中國).該裝置可以調節改變光強,控制反應溫度.光源采用500 W球形氙燈,部分接收裝置外部用黑紙進行了包裹以免收集到的樣品受到外界光的影響而發生降解.
圖1 單線態氧捕獲裝置示意圖(1.光源,2.光強調節器,3.單色儀,4.暗室,5.多通量反應杯,6.冷阱,7.恒流泵,8.部分收集器,9.恒溫循環水,10.遮光罩,11.采樣管路,12冷凝水管路)
光化學反應影響因素選擇HA濃度、pH、溫度和光照強度.在腐殖酸溶液中加10 μmol · L-1 FFA,同時設置FFA空白組和PN校正組,氙燈下垂直照射3 h,采樣間隔時間為30 min,連續采7次,每次取樣0.5 mL,過0.22 μm尼龍微孔濾膜后封裝于棕色樣品瓶中待測.
2.5 單線態氧平衡濃度及量子產率計算
一般采用單線態氧平衡濃度(singlet oxygen steady-state concentrations,[1O2]ss)對腐殖酸產生1O2的產量進行表征.FFA作為對1O2的捕獲劑,其降解的快慢可以反映產生1O2的速率.[1O2]ss可由FFA降解速率常數kobs,DOM和FFA自身光降解速率常數kobs,dir經公式(3)計算得到.
式中,kobs,DOM和kobs,dir可由準一級反應動力學方程ln(C0-C)=-kt計算得到,單位為s-1,FFA和1O2雙分子反應速率常數krxn,FFA取值為8.3×107 mol · L-1 · s-1.
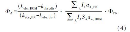
單線態氧的量子產率ФΔ,是指吸收1 mol光子產生1O2的摩爾數,一般通過與一種已知其Ф值的1O2敏化劑比較得出,本研究中選用的單線態氧敏化劑萘嵌苯酮(PN)的ФPN為98%.則ФΔ計算公式如下:
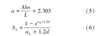
式中,Iλ表示光源在每個波長下的光照強度(W · m-2);aλ,DOM和aλ,PN分別表示腐殖酸和光敏劑在每個波長處的納氏吸收系數(m-1),可由公式(5)計算得到;Sλ是屏蔽因子,無量綱,可由公式(6)計算得到.
式中,Abs表示在每個波長下的吸光度值,L和d均表示輻射光源的路徑長度,取值均為0.01 m.
3 結果與討論
3.1 腐殖酸濃度(DOC)與pH對1O2的平衡濃度的影響
溶解性有機質濃度(DOC)是溶解性有機質產生1O2的重要影響因素,研究結果表明,[1O2]ss與DOC顯著線性相關(R2=0.95).由圖 2可知,本研究中同pH值下,DOC值高的腐殖酸溶液產生的1O2 均高于低DOC的溶液,但因未設置多個DOC濃度梯度實驗,本研究不能得到[1O2]ss與DOC的關系曲線.
pH作為水環境中重要的理化性質指標,對水中DOM的水化學、光化學等行為的解釋和預測具有重要作用(Frimmel et al., 1987; Dalrymple et al., 2010).圖 2為不同pH條件下,腐殖酸光敏化產生1O2的平衡濃度. [1O2]ss 值在pH=7的溶液中最高,其中DOC值為18 mg · L-1和30 mg · L-1的腐殖酸溶液產生的[1O2]ss分別為596.9 fmol · L-1和677.3 fmol · L-1.隨著酸堿性增強,[1O2]ss值逐漸減小,但弱酸環境中的[1O2]ss值較弱堿環境中的高.
圖2 不同pH及DOC濃度的HA溶液中[1O2]ss值
不同pH值條件下,腐殖酸產生的1O2的平衡濃度不同,且呈倒“U”形分布,可能因為腐殖酸作為一種帶負電荷的高分子聚合物,其所含有的羧基、羥基以及醌基等官能團會隨著pH值的不同而改變其存在狀態.Sharpless et al.(2014)研究發現,酚基和醌基是腐殖質光化學反應中重要的發色基團.本研究中對不同pH值下提取的腐殖酸進行了紅外光譜(FT-IR)掃描(圖 3).1137~1280 cm-1間的信號峰表明酯和酚的C—O伸縮振動的存在,1580~1800 cm-1間的信號峰表明C C及酮、醌中的C O伸縮振動的存在.由圖 3 可知,pH >7時,腐殖酸在1137~1280 cm-1間信號峰缺失以及1580~1800 cm-1間的信號峰也低于酸性條件下的(pH=4組除外),表明腐殖酸在堿性環境中酚基和醌基顯著減少,致使光敏化產生的1O2減少,且比酸性環境中的小.對于pH<7時,[1O2]ss的降低可能是因為HA分子發生團聚(李文慧等,2009),接觸光面積減少,發色基團吸收光能效率下降,使得3DOM*通過能量轉移產生1O2的反應減弱.
圖3 不同pH下溶液中提取的腐殖酸紅外光譜圖
3.2 溫度對1O2的平衡濃度的影響
為模擬實際水環境,本研究所選溫度段為1.5、5、10、15和25 ℃,[1O2]ss與T(T為絕對溫度)的關系如圖 4所示.實驗溫度范圍內,[1O2]ss值為400~506 fmol · L-1,隨T增大呈增長趨勢.分析推測溫度升高,溶液中分子活躍度增強,使得HA吸收光子能量發生能級躍遷生成三線激發態(3HA*)的速率增大,使得更多的氧分子獲得3HA*轉移的能量形成1O2.
圖4 不同溫度下的[1O2]ss值
本研究表明,在一定范圍內,溫度升高對腐殖酸產生1O2的反應有促進作用.溫度低于這一范圍時,如在0 ℃以下,處于冰晶中的DOM中的光化學反應組分會濃縮在更小的空間內,使得其間接光降解雪中艾氏劑的速率高于液態水環境中的,且降解速率隨溫度降低而增大(Grannas et al., 2014);溫度超過本文的溫度范圍時,分子結構、發色團及1O2穩定性等性質都可能發生變化,[1O2]ss在這一溫度范圍內的變化規律還需通過進一步的實驗獲得.
3.3 光強對1O2的平衡濃度的影響
自然界直射的光照強度范圍為3.2×104到10×104 lux,本研究在此基礎上盡量模擬不同強度的太陽光,同時設置了光源光照強度最大值,評估光源的最大潛力.圖 5 為不同光照強度(0.8、2.3、4、7.5、10、15.5 ×104 lux)下,腐殖酸產生的[1O2]ss值.光強為15.5×104 lux時,[1O2]ss值達到666.1 fmol · L-1,隨著光強減弱,1O2產生速率降低,在0.8×104 lux光照下,單線態氧產生速率k與最大光強時相比低1個數量級,[1O2]ss值僅為37.3 fmol · L-1.DOM產生1O2是一個能量轉移的過程,且更依賴于365 nm左右處的紫外光子能量(Vinoe et al., 2010; Dalrymple et al., 2010).本研究中采用氙燈模擬300~800 nm波段日光輻射,365 nm處能量本身較弱,光照強度降低,使得供腐殖酸吸收的光子減少,減弱了光敏化反應.
圖5 不同光照強度下[1O2]ss值
3.4 腐殖酸光譜特征與1O2量子產率的關系
盡管腐殖酸結構、性質的復雜性對其分子規模下光化學模型的建立造成了很大阻礙,但眾多研究表明了用光譜數據對腐殖酸光化學反應速率進行預測的可能性.例如,一些研究結果表明:熒光特性指標與DOM的平均分子量負相關(Coelho et al., 2011),小分子量的HA光敏化降解2,4,6-三甲基苯酚的效率比大分子量的高(Halladja et al., 2007).Dalrymple et al., 2010)用測定得到的ФΔ與E2:E3的關系式對ФΔ進行預測計算,結果與實際值的誤差為-3%~60%.
本研究選光譜特征值E2:E3與ФΔ值進行相關分析,所得關系圖見圖 6.量子產率ФΔ與E2:E3顯著正相關(p<0.01),線性擬合所得方程為y=1.09x-1.90,R2=0.44.Petersone et al.(2012)針對水體DOM的研究結果顯示,ФΔ與E2:E3之間成正相關(y=0.196 x+0.605,R2=0.592).本研究中ФΔ與E2:E3的線性相關擬合斜率(1.09)顯著大于Petersone et al.(2012)研究結果(0.196),可能因本研究腐殖酸與他人研究樣品相比有機質類型不同且較為單一所致.E2:E3作為表征DOM的芳香性和分子量的特征值(Peuravuori and Pihlaja, 1997;Dalzell et al., 2009),其差異可以反映有機質類型的不同.Petersone et al.(2012)的研究中5﹤E2:E3﹤25,有機質類型多樣,以小分子量的DOM為主;而本研究中E2:E3值較小且范圍窄(2.32~2.61),有機質類型單一,腐殖酸分子量大,芳構化程度高.這表明,存在單線態氧量子產率隨有機質分子量減小及芳香性減弱而增大的趨勢,且對于高分子量的DOM,該趨勢更為顯著.
圖6 1O2量子產率與E2:E3關系
3.5 實際環境條件下影響單線態氧產生的主要因素
在實際環境條件下,影響單線態氧產生的因素很多,如DOM含量與組成、光照與氣溫、以及水體pH值與離子含量等水環境特征.不同水體(如湖泊、河流和海洋等)中DOM含量與組成、以及水環境條件可能差異較大,這會造成其1O2產生潛力會有較大變化.由于氣溫與光照的不同,季節變化會導致光誘導DOM(如腐殖酸)產生1O2潛力的變化;冬季溫度和光強均較低,1O2產生潛力則較低,而夏季溫度高和光強大,利于1O2的產生,冬季與夏季的溫度與光強相差也大,相應產生的1O2產生的潛力差別也越大,如在本文氙燈模擬日光照射實驗中,最小光強(0.8×104 lux)和最大光強(15.5×104 lux)情況下,[1O2]ss值相差約一個數量級;此外,季節更替也會影響到水環境中DOM含量與組成、以及其他離子(如NO3-、Fe離子等)濃度等因素的變化,進而對1O2的生成產生影響(De Laurentiis et al., 2014).一些受到污染的水體具有過高的堿性或酸性,均會減弱1O2的產生潛力,而正常水體pH為6~9,利于1O2的產生.實際水環境中眾多重金屬離子,可與腐殖酸形成螯合物,影響1O2的產生潛力(Gao and Zepp, 1998).此外,針對同一水環境,一天中不同時段及不同深度下,因溫度、光照強度、DOM濃度等因素的差異,光誘導DOM產生1O2的潛力也存在差別.
4 結論
溶液環境和光照條件對腐殖酸光化學反應有一定影響,中性以及弱酸性環境中產生的單線態氧速率較高,所以維持水體環境pH值接近于中性,有利于水中溶解性有機質對有機污染物的光降解.一定范圍內,溫度和光強的增大對腐殖酸光化敏化產生單線態氧反應均有促進作用,據此推測夏季(溫度高和光照強度大)更有利于水環境中腐殖酸類溶解性有機質產生活性氧物質,促進對有機污染物的光降解作用.腐殖酸的來源、性質等差異對光化學反應的影響也需考慮,分子量小、芳構化程度高、含氧共軛體系發色基團多的腐殖酸(較高E2:E3值),使得光子能量轉化效率高,單線態氧量子產率大.
如需要產品及技術服務,請撥打服務熱線:13659219533
選擇陜西博泰達水處理科技有限公司,你永遠值得信賴的產品!
了解更多,請點擊www.wipog.com
